-
卓立汉光汤姆逊散射光谱诊断系统
详细信息| 询价留言品牌:卓立汉光 加工定制:否 型号:汤姆逊散射光谱诊断系统 一、前言作为物质存在的第四种状态的等离子体通常由电子、离子和处于基态以及各种激发态的原子、分子等中性粒子组成。等离子体中带电离子间库伦相互作用的长程特性,是带电粒子组分的运动状态对等离子体特性的影响起决定性作用,其中的电子是等离子体与电磁波作用过程中*重要的能量与动量传递粒子,因此,等离子体中*重要的基本物理参数是电子密度及其分布以及描述电子能量分布的函数以及相应的电子温度。而对于中高气压环境下产生的非热低温等离子体来说,等离子体中的主要组分是处于各种激发态的中性粒子,此时除了带电粒子外,中性粒子的分布和所处状态对等离子体电离过程和稳定性控制也起着非常重要的作用,尤其是各种长寿命亚稳态离子的激发。
为了可以充分描述等离子体的状态,在实验上不仅要对带电粒子的分布和运动状态进行诊断,如电子温度、电子密度、电离温度等参数,还需要对等离子体中的中性粒子进行必要的实验测量,来获得有关物种的产生、能量分布以及各个激发态布居数分布等信息,如气体温度、转动温度、振动温度、激发温度等参数。
基于这种要求,结合相关学科的各种技术形成了一个专门针对等离子体开展诊断研究的技术门类,如对等离子体中电子组分的诊断技术有朗缪尔探针法(Langmuir Probe),干涉度量法(Interferometer),全息法(Holographic Method),汤姆逊散射法(Thomason Scattering, TS),发射光谱法(Optical Emmission Spectroscopy, OES)等,对离子组分的光谱诊断技术有光腔衰减震荡(Cavity Ring-Down Spectroscopy, CRDS)和发射光谱法(OES),而对中性粒子的光谱诊断技术包括了吸收光谱法(Absorption Spectroscopy, AS),发射光谱法(OES),单光子或者双光子激光诱导荧光(Laser Induced Fluorescence, LIF)等。
二、汤姆逊散射(Thomson Scattering)
基于激光技术发展起来的汤姆逊散射诊断原本用于高温聚变等离子体的测量,借助激光技术和光电探测技术的突飞猛进,汤姆逊散射在近年也大量应用于低温等离子体的密度和电子温度的测量。汤姆逊散射具有空间分辨率高(局域测量),测量值稳定可靠等优点。
测量的物理量:
- 电子温度:下限0.1e
- 密度:下限1019m-3.
图1. 汤姆逊散射分析系统结构示意图
2.1、激光束在等离子体中的束斑大小(束径DLP)
激光束经过透镜聚焦,等离子体应该位于透镜的焦点,以达到激光束在等离子体中有*小的束径,*高的功率密度。
DLP = f´q
其中f是聚焦透镜的焦距,q是激光束发散角,考虑各种综合因素,实际束径是上述公式的2倍左右。假设使用f=1000mm的聚焦透镜和q=0.5mrad的激光束,DLP大约是1mm。
2.2、收集光学系统的光纤的像斑(fP)与等离子体中激光束径DLP的匹配
为了有效的收集激光束上的散射光子,光纤的像斑fP应该完全覆盖激光的束径。理想情况是光纤的像斑与DLP尺寸完全相同,并且二者完全重合,这样激光的散射光*大,同时背景非散射光*小。但是考虑到实际的准直的难度,这样的理想条件在有限的资金投入下很难实现。建议fP是DLP的两倍,既能有效的收集散射光子,也能比较容易准直。如果DLP =1mm, fP =2mm是比较合适的。
2.3、光纤的芯径、布局和光谱仪以及ICCD的选择
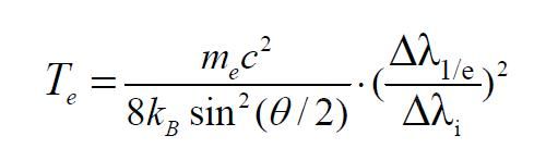
汤姆逊散射谱线展宽与温度的关系如下:
汤姆逊散射角度 Theta=90度;me是电子质量,c是光速,kB是玻尔兹曼常数,公式右边分母下面:是激光的波长 532nm;分子是谱线展宽,不过是1/e展宽
因此汤姆逊散射光谱的半高宽△λ1/e(nm)与等离子体温度Te(ev)的关系可以简化为:
△λ1/e=1.487×Te1/2
Te eV
0.1
0.2
0.3
0.4
1
2
4
5
10
△λ1/e nm
0.47
0.53
0.81
0.94
1.49
2.10
2.97
3.32
4.70
表1. 电子温度与汤姆逊散射谱半高宽对应值
在光谱仪没有入射狭缝或者入射狭缝宽度超过光纤的芯径的情况下,光纤的芯径实际决定了谱仪的实际分辨率(仪器展宽):
△λof = fof ´ LSP
fof是光纤的芯径,LSP是谱仪的倒线色散率。
针对于此应用,可以考虑选择两款光谱仪,分别是:
1、Zolix 北京卓立汉光仪器有限公司的Omni系列 750mm的谱仪,如果使用1200l/mm的光栅,LSP = 1nm/mm。测量电子温度的原则是仪器展宽应该与*低温度的展宽相当,才能有效的测量到*低温度。
2、选用207(670mm焦距)光谱仪,在搭配1200l/mm光栅的情况下,LSP=1.24nm/mm,可以满足要求。同时可以考虑搭配1800l/mm光栅,这样的话可以兼容高电子温度和低电子温度的同时测量,以及同时兼顾高分辨和宽光谱。
原则上,使用芯径400mm的光纤,△λof=0.4-0.48nm,完全符合0.1eV的测量要求。但是还是建议谱仪安装入射狭缝,靠狭缝来控制分辨率,不仅确保0.1 eV的测量要求,还能实现更低的温度测量。同时在调试阶段,靠狭缝来控制通光量,以免532nm的激光杂散光太强,对ICCD造成破坏。
另一方面ICCD的尺寸决定了光纤的排布数量。光纤数量越多,对汤姆逊散射这种微弱光测量是越有利的。在信号很弱的时候,可以把几道合成一道使用,以增加信噪比,提高信号质量。因此在波长覆盖范围(CCD的横向尺寸)满足要求的情况下,ICCD的纵向尺寸应该尽量大一些,以便容纳更多的光纤。
- 选用iStar 334T探测器,这款CCD的尺寸是13.3 ´ 13.3 mm,对焦距目前的光谱仪无论是Omni-750还是207在搭配1200l/mm光栅的情况下,波长覆盖范围是13nm左右,同时纵向13.3mm,容纳的光纤数量也更多,可以做更多的多道光谱。
- 如果已有更大面阵的CCDsCMOS或高速相机,可以考虑使用Zolix 卓立汉光的IIM系列镜头耦合像增强模组与之配合,达到类似ICCD的功能和效果,同时获得更大的相机选取自由度;IIM 内部可以选择25mm 尺寸的增强器,1:1耦合到CCD, 可以获得更大的成像面,双层增强器也可以获得更高的增益;
光纤的布局是一字型密集排布,在13mm的长度内,尽量的密布尽可能多的光纤。同时光纤应该严格排列在一条直线上,整排光纤的偏心距小于20mm。
2.4、收集透镜的选择
等离子体中心到透镜的距离L和光纤的芯径,及像斑决定了收集透镜的焦距。举例如下:如果像斑要求是fP =2mm,光纤芯径400mm, 则物像比是4,如果L=320mm, 则透镜的焦距就是320/4=80mm。同时如果观测的等离子体范围是50mm,那光纤一字排开的范围就是50mm/4=12.5mm。这个宽度和连接谱仪一侧的光纤束的尺寸很接近了,连接收集透镜一侧光纤也应该是密集排布,这样两端容纳的光纤数量就是匹配的。
2.5、瑞利散射的滤除与使用
瑞利散射信号通常也可以用来测试重粒子的相关信息比如中性原子。
但是相比于瑞利散射法来说,作为弹性散射的汤姆逊散射法更多用于自由电子的测试。和离子与原子相比,由于自由电子的速度更快,质量更轻,因此具备更宽的光谱展宽。比较强的杂散光信号与更强的瑞利散射信号则可以通过例如布儒斯特窗、笼式结构或者黑丝挡板的方式滤除掉。
图2 滤除瑞利散射的笼式结构示意光路
因此在实际的测试过程中,如何合理地使用这些信号为等离子体诊断服务,则是另一个相关的话题。
如图3[1]所示,为实际测试过程中得到的瑞利与汤姆逊散射信号
如图4[2]所示,为实际测试过程中得到的滤除瑞利散射后的汤姆逊散射信号
图3 包含瑞利散射与汤姆逊散射的实测信号

图4 滤除瑞利散射后的汤姆逊信号2.6其他附属部件
- 光电倍增管
- 谱仪第二出射口配宽度可调的狭缝
- 三维调整光学支架,用以调节镜头的方位和方向
三、整体解决方案汇总推荐
根据用户需求,一般推荐的配置如下:
- 光谱仪:
- Zolix 北京卓立汉光仪器有限公司的Omni-500I 或750i光谱仪搭配1200l/mm和1800l/mm的全息光栅
- 高光通量光谱仪,搭配120*140mm 或110*110mm 的大尺寸,高分辨率的1200l/mm光栅和1800l/mm光栅
- 探测器:
- ICCD, 18mm 增强器,13*13mm 探测面;
- Zolix卓立汉光 公司的IIM-A系列 镜头耦合像增强模组,配合更大面阵的CCD或sCMOS相机, 18mm或25mm 的大面积增强器,灵活的CCD 相机选择;
- DG645数字延迟脉冲发生器:用于系统触发控制
- 标准A光源,用于系统强度校准
- 其他的配件:包括多道光纤,收集光路,可以后续一并考虑,先购买标准部件
参考文献
[1] Yong WANG, Cong LI, Jielin SHI, et al. Measurement of electron density and electron temperature of a cascaded arc plasma using laser Thomson scattering compared to an optical emission spectroscopic approach[J]. Plasma Sci. Technol. 19 (2017) 115403 (8pp)
[2] Ma P, Su M, Cao S, et al. Influence of heating effect in Thomson scattering diagnosis of laser-produced plasmas in air[J]. Plasma Science and Technology, 2020.
-
-
产品搜索
联系方式
- 联系人:市场部
- 电 话:010-56370168-696
- 手 机:13810146393
- 传 真:010-56370168
- 邮 编:101102
- 地 址:北京市中关村科技园区通州园金桥产业基地环科中路16号,联东U谷中试区68号B座
- 网 址: https://bjzolix.cn.goepe.com/
http://www.bjzolix.com


手机访问








