- 技术文章
显示技术光色测量核心设备:分光与滤光亮度计原理及应用对比
2025-03-19 13:30:57 来源:北京卓立汉光仪器有限公司
在前两个专题中我们讲述了光色测量原理,显示技术的发展历史和未来发展,这次我们再来简单讨论一下传统显示技术的光色测量手段。
引言
在“光色测量原理”一文中,我们知道基于各种显示技术所开发的显示器件的重要作用就是对“周围信息”的重现。既然是信息的重现,那么就会涉及到重现信息与源信息的吻合程度的测量和评价。评价的主体是人眼(标准观察者),以人眼的视觉感受为评价基准。然而对于显示器件制造商而言,需要将人眼的主观评价标准转换为用仪器设备测量的客观标准,以便满足大规模生产的需求。
另外一方面,由于显示技术的不断更新和人们对显示质量要求的不断提高,提出的评价指标也越来越多,相应的测量方法也不断增加,对应的测量手段(设备)的要求也越来越多。在众多的评价指标中,我们*关心的指标有亮度相关指标、色度相关指标、视角、分辨率、响应时间。
亮度相关指标包括:亮度、亮度均匀性。亮度是指画面的明亮程度,而亮度均匀性是指显示屏上可寻址范围内所有像素的亮度一致的程度。
色度相关指标包括:色度、色度均匀性。色度(chromaticity)是一个用来评价色质刺激的指标,其值由色度坐标或主波长(或补色波长)和纯度确定。色度不仅包括色调(hue),还包括饱和度(saturation)。
灰阶:显示屏的画面是由多个像素点组成,每个像素点所能呈现的从黑到白的过渡等级数量就是灰阶。色阶是一个与灰阶相关的指标。
视角:是指人眼可以清晰分辨显示屏显示的画面所显示信息的观察角度。
分辨率:显示屏的分辨率本来应该是“人眼”所能分辨显示屏上所显示信息的能力。但是由于这个指标过于复杂,所以通常仅指显示屏的物理分辨率,即组成屏幕有效显示区域的像素点数。
响应时间:是指一个显示屏从接收输入控制讯号到输出画面之间所花费的时间。
上述这些指标有大量测量方法,这方面可以参考《信息显示测量标准》以及国内外相关的国家标准和行业标准,我们在这里就不再赘述了。这里我们主要讨论测量亮度和色度所用到的测量设备的原理。
根据测量面积的大小对测量设备进行分类可以分为点测量设备和面测量设备;根据测量原理的不同,可以将测量设备分为:①分光辐射度计(Spectroradiometer);②滤光片式亮度计。
基本概念和原理
亮度色度计是用于测量光源发射出的380~780nm的能量。因为仪器是瞄准光源测量亮度,所以必须要明确测量视场角和孔径角。
图1 与测量相关的变量
首先,能对LMD测量产生贡献的、来自每个像素的所有光线必须落在一个顶角不大于2°的圆锥内,即聚焦于无穷远的视场角必须不大于2°;
其次,来自测量像素中心的所有光线与观察方向的夹角必须不大于2°,即显示屏中心对LMD镜头的张角(孔径角)也必须不大于2°。
朗伯光源
对于光源而言,人们往往希望其是朗伯辐射体,然而实际上,几乎所有的光源都不是朗伯辐射体(Lambert radiator)。为了避免测量到微小角度偏差而测量到不希望的光线,同时也为了方便对测量结果进行沟通和交流,所以才需要明确测量时的视场角、孔径角和探测器与光源的相对位置等变量的数值。
图2 光源亮度定义
光度学的亮度定义如图2所示,对应朗伯光型的光源在θ角方向亮度为:
式中,Lθ为θ方向上测量的亮度值,单位cd/m2。可见,任意方向的Lθ=I0/ds为一定值,故人眼在任意方向观看朗伯光源时,所感知的亮度是相同的,即所谓朗伯光源是各向同性光源。
亮度测量原理
图3 亮度计的结构原理
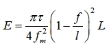
根据图1,利用光度学和几何光学的原理可以推出:
式中E为成像面上的照度;L为发光面上的亮度;τ为光学系统的透过率;f为透镜焦距;l为透镜与发光面的距离(称为测量距离);fm为系统的相对孔径,且有fm=f/D,其中D为孔径直径。
当系统的设计能使f/l小到可忽略不计时(在某误差范围内),发光体的亮度L与成像面照度E呈线性关系(这也是上面张角不大于2°的来源)。
色度测量原理
光源的色度用色品坐标x,y表示,与光源的相对光谱功率分布有关。
图4 CIE 1931色匹配函数
光源的三刺激值可用公式(3)(4)(5)表示:
P(λ)是光源的校正后的光谱数据(相对功率分布函数),
在《光色测量原理》一文中,我们详细介绍了“光度学”和“色度学”的基本概念,以及色坐标的计算方法(假设:任何颜色都可由三基色适当混合匹配获得,三基色一般为红、绿、蓝三种颜色。一旦三基色的单位被定量,那么匹配一种特定颜色所需的三基色量的倍率就称为光的三刺激值)。
测量亮度、色度的基础是要获得被测量光源的光谱图。下面我们简单介绍一下2种用于获得光谱数据的设备的基本原理,分光辐射度计和滤光片式亮度计。
分光辐射度计(Spectroradiometer)
分光辐射度计的功能是对光源进行光谱分析(不同波长的光能量分布图),即每一个波长位置光强。它与光谱仪的原理相同,也是基于空间色散原理。
图5 分光辐射度计的基本结构
分光辐射度计不仅能测量辐射度值或光度值,还可以测量色度值。这种仪器测量光源的辐射光谱,并计算得到所需的参数,例如色度或亮度。
分光辐射度计系统的基本组件如下:
(1) 前端光学元件(Input optics):用于收集来自光源的电磁辐射;
(2) 单色器(Monochromator):为了对光源进行光谱分析,需要用每个波长的单色光来创建光源的光谱响应。单色器用于对光源进行波长采样,并产生单色信号。它本质上是一个可变滤光片,从被测光的整个光谱中选择性地分离和传输特定波长或波段,并滤除落在该区域之外的任何光;
(3)探测器(Detectors);
(4)控制和记录系统(Control and logging system)。
输入光学元件(Input optics)
前端光学元件(front-end optics)包括透镜、漫射器和滤光片,它们对首*进入系统的光进行修改。对于辐射亮度的测量,需要具有窄视场的光学元件。对于总光通量的测量,需要一个积分球。对于辐照度的测量,需要余弦校正光学元件。这些元件所使用的材料决定了能够测量的光类型。例如,为了测量紫外光,通常使用石英而不是玻璃透镜、光纤、特氟龙漫射器(Teflon diffusers)和硫酸钡涂层积分球来确保准确的紫外测量。
单色器(Monochromator)
单色器是分光辐射亮度的核心器件,其基本结构如图6所示。
图6 分单色器的基本结构
A为入射光,B为光学狭缝,C为准直柱面反射镜,D为可转动衍射光栅,
E为汇聚镜,F为出射光学狭缝,G为出射光,H为汇聚镜,I为探测器。
一个典型的单色器由入射狭缝、出射狭缝、准直镜和聚焦光学元件、以及波长色散元件(如衍射光栅或棱镜)组成。现代单色器是用衍射光栅制造的,而衍射光栅几乎只用于光谱辐射测量。衍射光栅因其多功能性、低衰减、宽波长范围、较低的成本和更恒定的色散而更受欢迎。根据应用,可以使用单光栅或双光栅,由于光栅之间额外的色散和阻隔,双光栅通常能够提供更高的精度。
入射狭缝决定了进入单色器的光的多少。狭缝越小,分辨率越高,但整体灵敏度越低。衍射级次过滤器用于减少光栅衍射的高级衍射光。准直器将光线准直到光栅或棱镜。无论是使用光栅分光,还是用棱镜分光,仪器测得的光源数据都是一致的。光栅或棱镜用于入射光的色散。汇聚光学元件将光线汇聚到探测器(光电倍增管、CMOS传感器或CCD阵列)上。控制和日志系统用于定义和存储数据。
探测器(Detector)
探测器类型取决于所测量的光的波长、所需的动态范围和灵敏度。常规的分光辐射度计的探测器可分为三种类型:光发射探测器(例如,光电倍增管)、半导体器件(例如,硅)或热探测器(例如,热电堆)。
给定探测器的光谱响应由其核心材料决定。例如,光电倍增管中的光电阴极面可以由某些元素制造,避开对日光的响应——主要是对紫外光敏感,而对可见光或红外光无响应。CCD(电荷耦合器件)和CMOS传感器通常是由数千或数百万个单独的探测器元件(也称为像素)组成的一维(线性)或二维(面)阵列。它们包括一个基于硅或 InGaAs 的多通道阵列探测器,能够测量紫外光、可见光和近红外光。CMOS(互补金属氧化物半导体)传感器与 CCD 的不同之处在于,它们为每个光电二极管添加了一个放大器。这被称为有源像素传感器,因为放大器是像素的一部分。晶体管开关在读出时将每个光电二极管与像素内的放大器连接。
控制和记录系统(Control and logging system)
日志记录系统通常是一台个人计算机。在初始信号处理中,通常需要对信号进行放大和转换,以便与控制系统一起使用。应优化单色器、探测器输出和计算机之间的通信,以确保使用所需的指标和功能达到要求。光谱辐射测量系统附带的市售软件通常带有有用的参考函数,用于进一步计算测量,例如,CIE颜色匹配函数和V(λ)曲线。
CIE V(λ)曲线和CIE颜色匹配函数是以数据形式存储在仪器中,并用来处理从待测光源处测量到的光谱能量分布数据。因此,相比于光度计和三刺激测色计,分光辐射度计不存在由于传感器敏感度匹配不好而引起的测量误差。
校正
分光辐射度计在出厂时,会用相应的校准系数校准光谱数据,校正系数包括波长精确度修正、光谱分布修正和光度修正。波长校准采用的是具有特征光谱的氦灯光源,线光源提供了已知的光谱发射谱线通过光栅分光后投射到多探测器上再通过软件显示;用于波长校准的氦谱线包括388.6nm,447.1 nm,471.3 nm,587.6 nm,667.8 nm,706.5 nm和728.13 nm;
接下来,可用光谱校准系数校准这些数据;这些校准系数确保被测目标光谱能量分布(SPD)和由此计算出的数据比如CIE色度值经过了正确的溯源。*后,校准系数(光度系数)确保光度测试结果的准确性,如亮度或照度。
滤光片式亮度计
滤光片式彩色亮度计的色度测量功能的实现,是通过用合适的滤光片模拟人眼对光的响应,从而使加滤光片以后的图像传感器的相对光谱响应度与CIE 1931标准色度观察者色匹配函数相接近。其测色原理如下:
如果滤光片与图像传感器组合后,它们的光谱响应为
式中,kx、kz为色校准系数;R、G、B是仪器相应各探测器的输出值。
图7是具有旋转滤光片轮的高级滤光片式色度计的详细图示。在滤光片轮的每个位置包含一个红色、绿色或蓝色的色度滤光片。通过每个滤光片进行顺序测量以获得CIE三刺激值X,Y和Z。该口径的色度计配有手动匹配的CCIE滤光片。即便如此,滤光片式亮度计也没有光谱式亮度计的精度高。
图7 滤光片式亮度计的结构
滤光片式亮度计由以下几部分组成:
(1)光收集器件:根据应用不同,可以是一个镜头,接触式探头或者是积分球。
(2)三色滤光片:红(两片X/red和X /blue)、绿(Y)、蓝(Z)滤光片,通常的结构为层压(多层)或薄膜沉积。
(3)图像传感器:一种将光信号转换为电信号的光敏感装置。色度计可以包含三个或更多的探测器。探测器通常是PMT(光电倍增管的)或硅光电二极管。滤光片和图像传感器共同的作用,使其对光谱的响应与CIE三刺激值函数相匹配。图8示意性说明通过修改图像传感器的光谱响应曲线(通过调整滤光片相应波长的光透过率实现),使图像传感器对入射光的响应曲线与CIE色度测量所需的三色激励函数曲线匹配。
图8 典型的硅光电二极管响应曲线
(4)控制和记录系统:作用与3.4节的描述相同。用图像传感器输出的几组灰度值计算出屏幕各点的亮度和色坐标。
(5)校正:滤光片式亮度计在出厂前也会经过一些列校正,以确保所测量的亮度和色度指标与真值的误差在可接受范围内。
结语
通过对2种用于获得光谱数据的设备的基本原理介绍,给出了传统显示技术的光色测量手段。两种测量设备各有优缺点。光谱式亮度计测量精度高,可以提供光谱功率分布,但是速度相对缓慢,适合LCD\ OLED\ Mini-LED\ Micro-LED\ 硅基OLED研发等领域;滤片式亮度计测量速度快,但是精度差(滤光片匹配误差所导致的不准确性),适合背光模组,产线上Flicker以及响应时间测试。
参考文献
https://zhuanlan.zhihu.com/p/680930911
https://www.konicaminolta.com.cn/instruments/knowledge/light/instrumentation/09.html
https://en.wikipedia.org/wiki/Spectroradiometer
https://zhuanlan.zhihu.com/p/559729487
https://www.teo.com.cn/show/105/103.html
https://www.teo.com.cn/show/105/103.html
张雪静.两种不同类型的滤光片式彩色亮度计性能比较,[J],2013,28(1):147-148.
苗丹.基于成像光谱仪的显示屏亮色度参数测量系统定标与软件设计.[硕士学位论文].武汉.华中科技大学.2022.
人物介绍
高彬 ,在某军工企业工作了8年,长期从事加固显示方面的研究,参与了十多个型号的加固显示屏的研发。同时,在机载加固显示的光电测量方面也有着丰富的经验。翻译并出版了《OLED显示概论》和《信息显示测量》两本书籍。
免责说明
北京卓立汉光仪器有限公司公众号所发布内容(含图片)来源于原作者提供或原文授权转载。文章版权、数据及所述观点归原作者原出处所有,北京卓立汉光仪器有限公司发布及转载目的在于传递 更多信息及用于网络分享。
如果您认为本文存在侵权之处,请与我们联系,会*一时间及时处理。我们力求数据严谨准确, 如有任何疑问,敬请读者不吝赐教。我们也热忱欢迎您投稿并发表您的观点和见解。
-
产品搜索
联系方式
- 联系人:市场部
- 电 话:010-56370168-696
- 手 机:13810146393
- 传 真:010-56370168
- 邮 编:101102
- 地 址:北京市中关村科技园区通州园金桥产业基地环科中路16号,联东U谷中试区68号B座
- 网 址: https://bjzolix.cn.goepe.com/
http://www.bjzolix.com


手机访问

























